If you specify the EXCESS=DEMAND option, then there are three possible scenarios to deal with:
Supply the excess demand to all demand nodes directly.
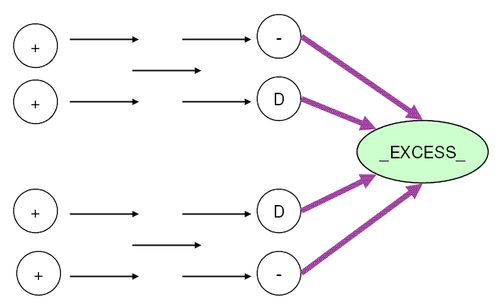
Figure 7.36: Nodes with Missing D Demand

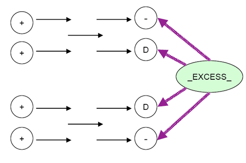
Supply the excess demand by the nodes that have a missing S supply value. If a node has a missing S supply value, then the
amount it supplies is determined by optimization. For a supply node with a positive supdem value, that value is equal to the sum of flows on all actual arcs directed away from that node.
Figure 7.37: Nodes with Missing S Supply

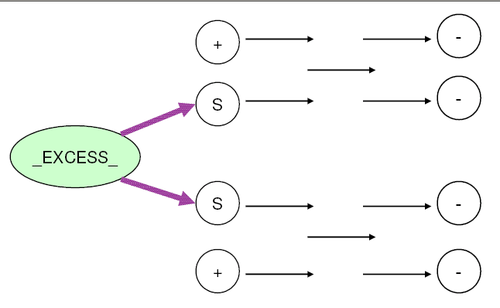
Supply the excess demand by all supply nodes. If a node has a positive supdem value, that value is the lower bound on the sum of flows on all actual arcs directed away from that node. If a node has a
missing S supply value, then the amount it supplies is determined by optimization.
Figure 7.38: Nodes with Missing S Supply, THRUNET Specified
