If you specify the EXCESS=SUPPLY option, then there are three possible scenarios to deal with:
Drain the excess supply from all supply nodes.
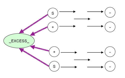
Figure 7.33: Nodes with Missing S Supply, THRUNET Specified

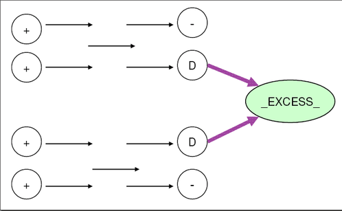
Drain the excess supply from nodes that have missing D demand values. If a node has a missing D demand value, then the amount
it demands is determined by optimization. For a demand node with negative supdem value, that value negated is equal to the sum of flows on all actual arcs directed toward that node.
Figure 7.34: Nodes with Missing D Demand

Drain the excess supply from all demand nodes. If a node has a negative supdem value, that value negated is the lower bound on the sum of flows on all actual arcs directed toward that node. If a node
has a missing D demand value, then the amount it demands is determined by optimization.
Figure 7.35: Nodes with Missing D Demand, THRUNET Specified
