上一页|下一页

“汇总统计量”任务

关于“汇总统计量”任务

“汇总统计量”任务为跨所有观测的变量以及观测组内的变量提供描述性统计量。您还可以通过图形显示的形式汇总数据,如直方图和盒形图。
例如,您可使用该任务来创建按产品类型和国家/地区排列的新销售量的报表。

示例:单位销售量的汇总统计量

在该示例中,您希望分析单位销量。除了表格式的结果以外,您还可选择显示分布的直方图。
要创建此示例,请执行以下操作:
  1. 任务部分,展开统计量文件夹,并双击汇总统计量。此时将打开“汇总统计量”任务的用户界面。
  2. 数据选项卡中,选择 SASHELP.PRICEDATA 数据集。
  3. 对于分析变量角色,分配 sale 列。
  4. 选项选项卡中,展开部分,并选择直方图复选框。
  5. 要运行任务,点击 提交 SAS 代码
结果如下:
单位销售量的 MEAN 过程和 UNIVARIATE 过程的结果

向角色分配数据

要运行汇总统计量任务,您必须向分析变量角色分配一列。
角色
说明
角色
分析变量
您向该角色分配的变量是您希望计算统计量的数值型变量。您必须为该角色分配至少一个变量。
分类变量
向该角色分配的变量是字符型变量或离散数值型变量,这些变量用于将输入数据划分为不同类别或子组。对于每个分类变量的唯一组合,将对所有选定的分析变量计算统计量。
其他角色
分析分组依据
向该角色分配的变量将用于计算每个非重复值或分析分组依据变量的组合值的单独统计量。在计算统计量之前,将按照该角色中的变量自动对数据进行排序。
频数计数
向该角色分配一个变量时,表中的每个观测都将假设代表 n 个观测,其中 n 是该行的频数计数值。系统将相应计算统计量。您最多可为该角色分配一个变量。
权重变量
如果向该角色分配变量,那么每个观测的变量值将用于计算加权均值、方差和总和。您最多可为该角色分配一个变量。

设置选项

选项名称
说明
统计量
基本统计量
均值
是算术平均,计算方法为将分析变量的值相加,并将该总和除以非缺失观测数。
标准差
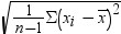
是一组数据值的可变性的统计测度。该测度最大范围应用于衡量频数分布的离散度,等于方差的正平方根。
最小值
是分析变量的最小值。
最大值
是分析变量的最大值。
中位数
是分析变量的中间值。
观测数
是具有非缺失值的总观测数。
缺失值数
是包含缺失值的观测总数。
其他统计量
标准误差
是样本均值的标准差。标准误差的定义是样本标准差与样本大小平方根的比。
注: 只有在标准差和方差的除数下拉列表中选定了自由度时,该选项才可用。
方差
是数据值的离散度的统计测度。该测度是每个观测和样本均值之间的总平方离散度的平均值。
众数
是分析变量的最频值。
极差
是数据中最大值与最小值的差值。
总和
是分析变量中所有值的总和。
权重和
是用于对每个观测加权的数值型变量的总和。
注: 只有在向权重变量角色分配了一个变量之后才能计算权重和。
均值的置信限
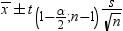
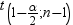
是均值的双侧置信限。均值的双侧 100 open 1 minus alpha close percent. 点击备用格式的图像。 置信区间的上限和下限如下:x with macron above , plus minus . t sub open 1 minus , alpha over 2 , semicolon n minus 1 close end sub . fraction s , over square root of n end fraction. 点击备用格式的图像。 ,其中 ssquare root of fraction 1 , over n minus 1 end fraction . cap sigma . open , x sub i , minus , x with macron above , close squared end root. 点击备用格式的图像。t sub open 1 minus , alpha over 2 , semicolon n minus 1 close end sub. 点击备用格式的图像。1 minus , alpha over 2. 点击备用格式的图像。 的学生 t 统计量(自由度为 n minus 1. 点击备用格式的图像。 )。
变异系数
是相对可变性的无单位测度。该测度定义为以百分比形式表示的标准差与均值的比。变异系数仅在变量为比例值时才有意义。
偏度
用于衡量某个方向的偏差大于另一方向的趋势。
峰度
用于衡量尾部的厚度。
百分位数
第 1、第 5、第 10、下四分位数、中位数、上四分位数、第 90、第 95、第 99、四分位极差
选择要计算的百分位数和分位数。
分位数方法
指定用于计算分位数、中位数和百分位数的方法。
次序统计量
将所有数据读取到内存中,并按唯一值进行排序。
分段 parabolic 算法
估计分位数,并且是一种不太占用内存的方法。
注: 如果您向权重变量角色分配了变量,则只有次序统计量方法可用。
直方图
创建用于确定数据分布的图形。如果您添加正态密度曲线,则任务会对 mu. 点击备用格式的图像。sigma. 点击备用格式的图像。 分别使用样本均值和样本标准差。如果您添加了核密度曲线,那么任务将使用 AMISE 方法来计算核密度估计。
要在图形中包括此统计量,请选中添加内插统计量复选框。
比较盒形图
创建一个图形,其中显示中间位置(中位数)测度、离散度的两个测度(极差和四分位极差)、偏度(从中位数相对四分位数方向)和可能的离群值。盒形图对于比较两个或更多数据集很有用处。
注: 比较盒形图选项仅当没有为分类变量角色分配列时可用。
您可选择将总内插统计量添加到图形,或只添加各个组的内插统计量。
直方图和盒形图
在一个面板中同时显示直方图和盒形图,并具有共同的 X 轴。您可以选择将总内插统计量添加到图形中。
注: 仅当您没有向分类变量角色分配列时,直方图和盒形图选项才可用。
详细信息
标准差和方差的除数
指定计算方差和标准差时使用的除数。下面是有效的选项:
自由度
n minus 1. 点击备用格式的图像。
默认情况下,方差的除数是自由度。
观测数
n
权重和减一
open , cap sigma sub i , w sub i , close minus 1. 点击备用格式的图像。
权重和
cap sigma sub i , w sub i. 点击备用格式的图像。
注: 仅当您向权重变量角色分配变量时,权重和减一权重和选项才可用。

设置输出选项

您可指定是否将统计量保存到输出数据集中。
上一页|下一页|页首