上一页|下一页

“排名数据”任务

关于“排名数据”任务

数据排名任务将为表中所有行的一个或多个数值型变量计算排名,并将排名包含在输出表中。
例如,您可能希望对公司销售的每个产品的销量进行排名。在这种情况下,排名变量将显示产品销量的顺序。销量最高的产品将排在首位。

示例:按年龄和身高对学生进行排名

在该示例中,您希望对班级里的学生按年龄和身高进行排名。
要创建此示例,请执行以下操作:
  1. 任务部分,展开数据文件夹,并双击排名数据。此时将打开“数据排名”任务的用户界面。
  2. 数据选项卡中,选择 SASHELP.CLASS 数据集。
  3. 向下列角色分配列:
    角色
    列名
    要排名的列
    Height
    排名依据
    Age
  4. 要运行任务,点击 提交 SAS 代码
数据排名任务将创建一个输出数据集。在 SAS Studio 中,该数据集将在 WORK.Rank 选项卡中打开。该数据集包含额外的 rank_Height 列,该列将显示学生在她的年龄组中的排名。例如,在 11 岁组中,Joyce 排在第一名。在 12 岁组中,Louise 排在第一名。
数据排名任务创建的输出数据集

向角色分配数据

要运行数据排名任务,您必须向要排名的列角色分配一个列。
角色
说明
要排名的列
系统将对分配给该角色的每一列进行排名。您必须为该角色分配至少一个变量。默认情况下,排名列命名为 rank_列名,其中列名是原始列的名称。
排名依据
当您向该角色分配一个或多个列时,输入表将按选定的一个或多个列进行排序,并且将在各个组内计算排名。

设置选项

您必须至少选择一个输出选项。
选项名称
说明
选项
排名方法
指定进行数据排名时使用的方法。下面是有效值:
不使用方法来排名数据。
百分位数排名
将原始值分入 100 组,其中最小值接收的是值为 0 的百分位数,最大值接收的是值为 99 的百分位数。
十分位数
将原始值分入 10 组,其中最小值接收的是值为 0 的十分位数,最大值接收的是值为 9 的十分位数。
排名方法(续)
四分位数
将原始值分入四组,其中最小值接收的是值为 0 的四分位数,最大值接收的是值为 3 的四分位数。
组 = n (NTILES)
将原始值分入 n 组,其中最小值接收的值为 0,最大值接收的值为 n–1。在组数框中,指定 n 值。
分数排名,其中分母 = n
计算分数排名,用每个排名除以包含排名变量的非缺失值的观测数。
分数排名,其中分母 = n+1
计算分数排名,用每个排名除以分母 n+1,其中 n 是指包含排名变量的非缺失值的观测数。
百分比
用每个排名除以包含变量的非缺失值的观测数,再用结果乘以 100 得出百分比。
排名方法(续)
正态评分(Blom 公式)正态评分(Tukey 公式)正态评分(van der Waerden 公式)
计算排名的正态评分。作为结果的变量将正态分布。公式如下:
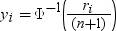
Blom 公式
y sub i , equals , cap phi super negative 1 end super , open . fraction open , r sub i , minus , 3 eighths , close , over open n plus , 1 fourth , close end fraction . close. 点击备用格式的图像。
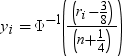
Tukey 公式
y sub i , equals , cap phi super negative 1 end super , open . fraction open , r sub i , minus , 1 third , close , over open n plus , 1 third , close end fraction . close. 点击备用格式的图像。
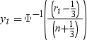
van der Waerden 公式
y sub i , equals , cap phi super negative 1 end super , open . fraction r sub i , over open n plus 1 close end fraction . close. 点击备用格式的图像。
在这些公式中, cap phi super negative 1 end super. 点击备用格式的图像。 是逆累积正态 (PROBIT) 函数,ri 是第 i 个观测的排名,n 是排名变量的非缺失观测数。
注: 如果您设置若值绑定,使用选项,则“排名数据”任务会根据非绑定值计算排名的正态评分,并将绑定规范应用于计算出的评分。
Savage 评分(指数)
计算排名的 Savage(或指数)评分。
注: 如果您设置了若值绑定,使用选项,那么数据排名任务将基于非绑定值计算排名的 Savage 评分,并将绑定规范应用到作为结果的评分中。
若值绑定,使用:
指定如何计算绑定数据值的正态评分或排名。
均值(中排名)
分配相应排名或正态评分的均值
高排名
分配相应排名或正态评分的最大值
低排名
分配相应排名或正态评分的最小值
密集排名
将绑定值视为单一次序统计量,以计算评分和排名。对于默认方法,排名是连续整数,最小值是 1,最大值是进行排名的变量的唯一非缺失值数量。系统将为绑定值分配相同排名。
秩序
指定是按照从小到大还是从大到小列出值。
结果
保存输出数据的位置
指定输出表的位置。默认情况下,表将保存在临时 Work 逻辑库中。
包括排名列
指定包含原始列和排名列的输出表。如果您希望将原始列替换为排名列,请取消选定包括排名列复选框。
默认情况下,排名列命名为 rank_列名,其中列名是原始列的名称。
上一页|下一页|页首