label that
specifies the text displayed on the button. You can create two instances
of the Push Button Control on your frame and have one display “OK”
and the other display “Cancel,” simply by specifying
a different value for the label attribute of each instance.
label attribute,
execute code similar to the following:init:
DCL num rc;
DCL list metadata;
DCL object obj;
obj=loadclass('sashelp.classes.pushbutton_c.class');
rc=obj._getAttribute('label',metadata);
call putlist(metadata,'',3);
return;(NAME='label' INITIALVALUE='Button' STATE='N' TYPE='Character' DESCRIPTION='Returns or sets the text displayed as the label' CATEGORY='Appearance' AUTOCREATE='' SCOPE='Public' EDITABLE='Yes' LINKABLE='Yes' SENDEVENT='Yes' TEXTCOMPLETION='No' HONORCASE='No' GETCAM='' SETCAM='' EDITOR='' VALIDVALUES='' CLASS=4317 )
sashelp.classes.colorlist_c.class)
Type
= sashelp.classes.colorlist_c.class (1,2,3) represents
a three-dimensional array of type colorlist_c, with the upper boundaries
for each dimension being 1, 2, and 3, respectively.
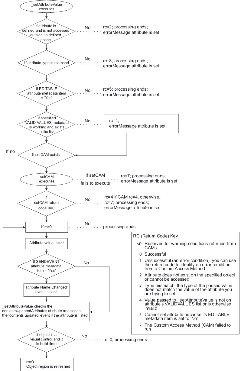
textColor attribute has an associated event named “textColor Changed”. You can then register
an event handler to trap the event and conditionally execute code when the value of the attribute
changes.
textColor attribute would use the _sendEvent method to send the “textColor changed” event.
ValidValues='North South East West' ValidValues='North America,South America,Western Europe'
ValidValues='\sashelp.classes.ItemsValues.scl';
|
Appearance
|
Misc
|
|
Behavior
|
Region
|
|
Data
|
Model/View
|
|
Drag and drop
|
Size/Location
|
|
Help
|
System
|
contentsUpdatedAttributes attribute to notify components in a model/view relationship that a key attribute has been changed

